帝源教育
首页
视频教程
小学资料
初中资料
题库
答案
商城
学习资料
手抄报
登录
注册
立即下载
限时
免费
下载
同类热门下载
八年级上册数学《因式分解》常考题型专项训练
八年级上册数学《因式分解》12个常见答题方法
八年级数学上册、期末必考全等三角形之对角互补模型
九年级数学上册、正多边形与圆重难题型期末特训
八年级上册数学——分式方程的实际应用
初一数学整式化简求值计算题专项训练
八年级数学上册整式乘法与因式分解特训
八年级上册数学【整式的乘法与因式分解】必背公式
八年级上册数学第15章【分式】必背公式定理
七年级上册数学 一元一次方程期末4大必考题型
本年级热门下载
初中生优秀作文《__,点亮了我的青春》
八年级上册语文《昆虫记》常考简答题及判断题
初中英语期末必考句型转换专项强训
初中英语14个期末易错知识点整理
八年级上册数学《因式分解》常考题型专项训练
八年级上册数学《因式分解》12个常见答题方法
八年级优秀作文、《青春, 我想说》
八年级语文作文押题训练《梦想,点亮了我的青春》
八年级数学上册、期末必考全等三角形之对角互补模型
九年级数学上册、正多边形与圆重难题型期末特训
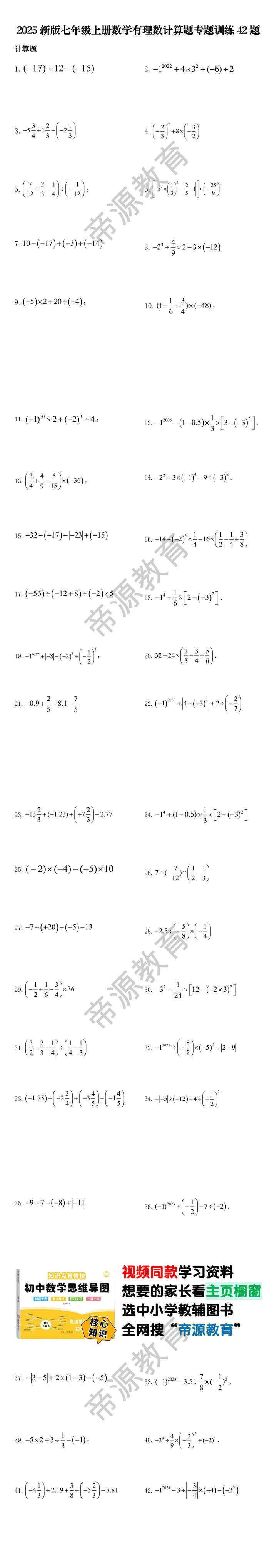
2025新版七年级上册数学有理数计算题专题训练42题
初中学习资料
/
初中数学
/
知识点
/
2025-08-28
81
531.61 KB
简介:
计算题